2021黑龙江省面向贫困地区定向招生本科专项计划志愿征集,今日黑龙江省面向贫困地区的定向招生志愿征集已经结束啦,不过大家可以对如下信息做一些参考,那么,具体详情,请见下文。
2021黑龙江省面向贫困地区定向招生本科专项计划志愿征集
我省面向贫困地区定向招生本科专项计划(国家专项)投档后,尚有部分剩余计划,现进行网上征集志愿。填报征集志愿时限为:7月15日10时起至7月15日12时止,过时一律不予受理。征集志愿有关要求如下
一、参加贫困地区定向招生本科专项计划(国家专项)征集志愿的考生须具有20个特殊贫困县当地连续3年以上户籍和户籍所在县高中连续3年学籍并实际就读,除延边大学要求高考成绩在我省本科二批录取控制分数线以上(理工类280分,含照顾政策分),其他院校都要求高考成绩在我省本科一批录取控制分数线以上(文史类472分,理工类415分,含照顾政策分),未被录取的考生可按附表内公布的招生计划选报志愿(理工类填5个平行志愿,文史类填3个平行志愿)。
二、征集志愿院校的收费标准、专业要求等,以我省《2021年黑龙江省全国普通高等学校招生计划》及院校《招生章程》为准。有关本次征集志愿的院校代号、名称和专业代号、名称详见附表。
三、符合条件的考生可凭准考证号和本人密码登录“黑龙江省招生考试信息港(www.lzk.hl.cn)进入“网报中心” ,点击“2021年黑龙江省高考网上填报志愿入口及志愿查询入口”,并按系统提示及要求依序完成征集志愿的操作(网报服务电话:0451-82376072,82376270)。
四、凡高考成绩未达到本次征集志愿分数线及有关要求,或在“黑龙江省招生考试信息港”上查询到录取结果的考生,将被拒绝填报征集志愿;凡高考成绩已达到征集志愿分数线及有关要求,并在“黑龙江省招生考试信息港”上查询到在某校“院校在阅”的预录取状态,而被拒绝填报征集志愿的考生,均为即将被录取,院校不再退档,只待确定录取专业及办理录取手续,请等候查询录取结果。
2021面向贫困地区定向招生本科专项计划(国家专项)征集志愿招生计划

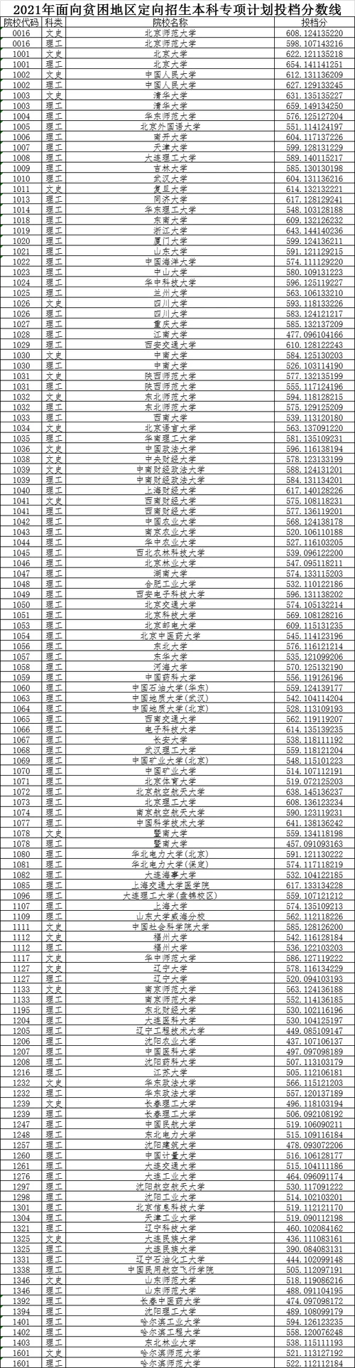
2021面向贫困地区定向 招生本科专项计划投档分数线

2021面向贫困地区本科定向招生专项计划录取结束院校名单













