2019年4月23日阳光高考江苏站公布《江苏省深化普通高校考试招生制度综合改革实施方案》,《方案》指出江苏省2018年启动高等学校考试招生综合改革,2021年整体实施。以下是小编为大家整理的江苏新高考等级赋分制折算表,供大家参考。
江苏新高考等级赋分制折算表

新高考政策
《方案》公布江苏新高考采取3+1+2形式,高考总分值设置为750分。考生总分由统一高考的语文、数学、外语科目成绩和学业水平考试3门选择性考试科目成绩组成。语文、数学、外语3门科目以每门150分计入总分,其中外语科目含听力考试30分。选择性考试科目每门均为100分。物理、历史科目以原始分计入总分;其余科目以等级分计入总分。
等级赋分制折算
等级分是按统一规则,由原始分进行等级划定后,再由等级转换而来的分数。对于某一再选科目,考生该科目的合格性考试成绩达到合格后,转换时赋分起点为30分,满分为100分。具体转换规则和步骤如下:
第一步,按照考生原始分从高到低划定 A、B、C、D、E 共五个等级,各等级人数所占比例分别约为15%、35%、35%、13%和2%,从而将考生的原始分转换成了等级。
第二步,将 A 至 E 五个等级内的考生原始分,依照等比例转换法则,分别对应转换到100~86、85~71、70~56、55~41和40~30五个分数段,从而将考生的等级转换成了等级分。
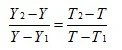
转换公式:

其中:Y表示原始分(Y1、Y2分别表示原始分区间的下限和上限);T表示转换分(T1、T2分别表示转换分区间的下限和上限)。
举例说明,某同学的卷面分是80分,第一步按照总人数及排名得出学生的所在等级是B。原始的区间也就是16%到50%区间内分数上限和下限为81-60.解T≈84.该考生转化分为84分。







