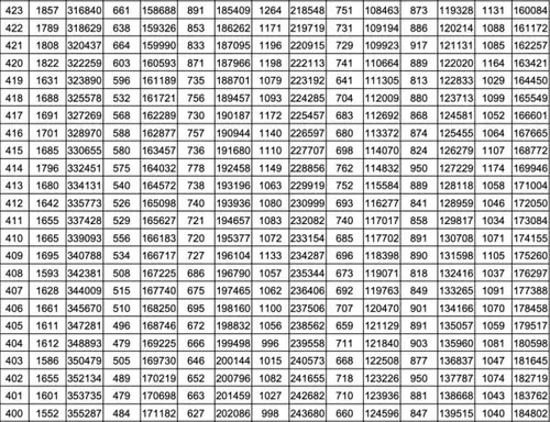
2021年山东一分一段表发布 2021山东高招一分一段表出炉,2021年各地高考成绩自23日起陆续公布,就在刚刚,对填报志愿具有重要参考意义的一分一档表公布啦!记住,名次比具体分数更重要,快来看看你能排全省多少名吧
2021年山东一分一段表




















多所高校预估录取分数线出炉快看你能报考哪所学校。

山东大学
济南+青岛校区
6000名以内(628分以上):录取到热门专业有把握;
10000名以内(615分以上):录取有把握;
12000名以内(610分以上):录取希望很大;
13000名以内(608分以上):录取有希望。
建议填报我校20个左右专业志愿,拉开专业档次;
威海校区
12000名以内(610分以上):录取到喜欢的专业有把握,建议填报我校6个左右专业(类);
15000名(603分):录取有把握,建议填报我校10个左右专业(类);
18000名(598分):录取比较有把握,建议填报我校10个左右专业(类);
20000名(594分):有希望被录取,建议填报我校15个专业(类);
27000名以内(584分以上):报考校区威海走读有希望被录取,建议填报我校招生的14个专业(类);
32000名以内(577分以上):报考威海校区中外合作7个专业,有希望被录取。

中国海洋大学
一、非中外合作办学专业
高考位次在18000名以内的考生均有录取希望。14000名以内的,多数专业录取希望较大,16000名以内的,部分专业也有较大希望录取;18000名以后但有十分强烈报考意愿的考生,也可尝试在平行志愿靠前位置填报。
二、中外合作办学专业
高考位次在30000名以内的,被法学录取希望较大;
位次在36000名以内,被海洋科学和计算机科学与技术录取希望较大;
南京邮电大学
15个限选物理的专业(类),今年在山东增加了19个计划,选考物理排名16000、全体排名20000左右(594分)报考希望大;3个没有选科要求的专业(类),全体排名23000左右(590分)报考希望大。
中国人民大学
中国人民大学2021年本部普通批1200名以上(655分以上)希望较大,提前批1500名以上(652分以上)希望较大。高分段专业700名以上希望较大。
苏州校区 5000以上(631分以上)希望较大,6000以上(628以上)也有希望,欢迎尝试。
上海外国语大学
高考位次在4500名以内的考生均有录取希望。5500名以内多数专业录取希望较大,6500名以内的,部分专业也有较大希望录取;6500名以后但有十分强烈报考意愿的考生,也可以尝试一下,存在一定的机会。
武汉大学
武汉大学预估640分比较有希望,638分可以冲一下。
中国药科大学
普通类专业鼓励总排名21000名以内(593分左右及以上)的考生报考,分数越高专业选择余地越大,中外合作办学鼓励34000以内(575分左右及以上)的考生报考,录取希望较大。
哈尔滨工业大学
校本部山东分数线:
636可报,638希望大,649分大类中任选专业,651以上给建筑及智能装备本硕博,653以上全校任选专业,本硕博连读,660以上小卫星班、机器人班、永坦班。
威海校区:
608分以上,96个志愿可以给自己一个机会,冲一冲试试;612分以上,可以报;615分以上,进学校很稳;620分以上,可以选择往年分数偏高或最高的专业。625分以上,可以选择往年分数最高的专业。
华南理工大学
预计619分以上可以报考。
大连海事大学
去年大连海事大学在山东招生的情况,折合成2019年以前的分数位次差距不大;但提前批由于填报人数不多,录取位次有所下降。







