安徽新高考等级赋分如何实现?安徽是第4批高考改革省份,2021年9月15日安徽取消文理分科,确定实施“3+1+2”新高考,那么新高考模式下,高考等级赋分如何实现呢?下面就让我们一起来了解一下吧。
安徽新高考等级赋分如何实现

安徽新高考等级赋分如何实现?
化学、生物、政治、地理转换时赋分起点为30分;转换分2步,具体如下:
1、按每门选考科目考生原始分从高到低划定A、B、C、D、E共五个等级,各等级人数所占比例分别约为15%、35%、35%、13%和2%,将考生的原始分转换成等级。
2、将A至E五个等级内的考生原始分,依照等比例转换方法,分别对应转换到100~86、85~71、70~56、55~41和40~30五个分数区间,得到考生的等级分。
注意:每门选择性考试科目等级分数的转换基数为实际参加该科目考试并取得有效成绩的人数。
具体参数对应下表:

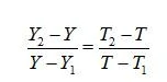
换算公式如下:

Y1、Y2:分别为每个等级对应的原始分最低和最高;
T1、T2:分别为相应等级分区间的最高和最低;
Y:考生的原始分;
T:考生成绩换算后的等级分。
举个例子:
某考生选考政治分数为75分;
那么考生对应的等级为B,如果该科目B等级的原始分区间是80~61(仅为举例,实际操作以具体原始分区间为准)那么等比例转换过后该考生的赋分区间为85~71;
带入公示后得到等级分T≈80,那么 该考生政治科目的等级分为80分。
公式如下:

高考等级赋分是什么意思?为什么要实行等级赋分?
等级赋分制简单来说,就是对考生的卷面成绩进行等级划分,而后依据考生卷面成绩排名所在的等级区间,赋予其对应等级的分数。
由于选考科目中不同学科试题难度差异和报考相应学科的考生群体不同,不同选考科目的原始分不具有可比性。
例如:考生A选考生物,考生B选考地理,两人的高考卷面分都是80,但A考生的位次在所有生物考生中是400,B考生在的位次在所有地理考生中是200;如果直接按卷面分算的话就不公平也不科学,所以需要等级赋分。







