2021年山东专升本成绩,各位参加专升本考试的同学们,明天(5月28日)山东专升本就要出成绩了,大家是不是既激动又期待呢?小编在下文为大家提供成绩查询地址以及往年的分数线汇总,那么,接下来和小编一起看看“2021年山东专升本成绩”的详情。
2021年山东专升本成绩
山东省2021年普通高等教育专科升本科招生考试在5月8日至9日举行,根据考试院发布的消息可知,山东2021年专升本成绩公布为5月28日,成绩公布之日起 3 个工作日内可以申请成绩复核。
01 2021年山东专升本考试成绩查询时间

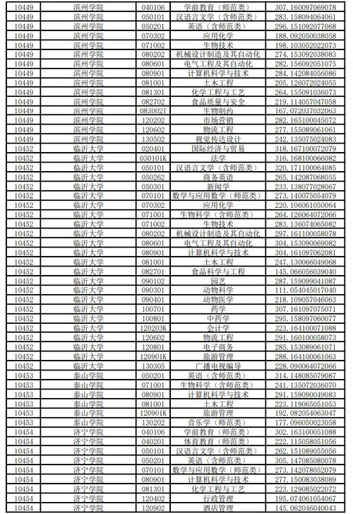
02 2020年山东专升本录取分数线















