2021广东中考数学试卷真题 2021广东中考数学试卷及答案,2021年广东中考数学于今日正式开考,今年广东中考数学卷是自盘古开天辟地以来最难的。希望2022年以及以后的广东考生要引以为戒。题目新、刁钻、过渡很大,虽然我已经在之前有预感到2021年广东中考数学前瞻预测,但还是出乎我意料!
2021广东中考数学试卷真题




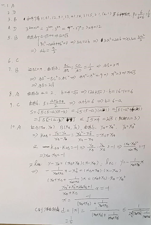
下面上手写版答案,非标准答案,不保证完全无误,另字写得有些潦草!





对比2020年,2021年广东中考数学试题考查的知识点有三个特点:
1、数与式、方程不等式、统计概率分值相对稳定
考查题型基本没有太大的变化,侧重考查基本的概念、运算。例如,第四题考查了幂的运算,第五题考查了绝对值和二次根式的非负性,这在以往的中考中出现的是比较少的,需要同学们平时的基础比较扎实。
2、函数比重增加明显,侧重对学生数形结合能力的考查
应用题为二次函数实际应用题——销售利润问题;
反比例函数的考查为常见的基础题型;
25题为二次函数综合题,侧重判别式的应用,渗透大学夹逼定理的思想,作为初高衔接的重要过渡,是非常创新的方向;第(2)问为常见的平行四边形存在性问题,可用几何法或代数法求解。
3、几何更偏重图形的基本性质及应用
第7题开始就是圆与角平分线结合的一道题;第9题以海伦公式为背景考查最值,需要学生有一定的应变能力和运算能力;第17题仍然考查动点轨迹问题,除了2020年,以往是没有考过的;23和24题相对难度不大,但需要学生熟练掌握圆、四边形、相似等相关几何基本性质。

对2022届考生的备考建议
1、围绕课本,重基础
虽然取消考纲,但很多试题的选材都来源于课本,所以复习过程中必须吃透课本上的例题和课后习题,尤其要注意章节后面的阅读拓展部分。
2、关注核心素养
建议考生以专题形式进行复习强化,同时注意利用所学的数学知识来解决实际问题,而且还要多关注“最值”这个中考热点。
3、培养学习能力
不能只局限于这道题会做,而是要知道怎么会做的。另外,可以通过一题多解、多解归一,来锻炼学生良好的思维能力。这两年新中考试卷的难度明显有所增加,考试平时需更加注意做题效率。







